Englewood Podcast: Police and Community’s Relationship Essay

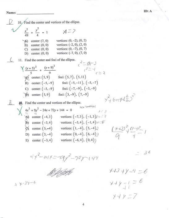
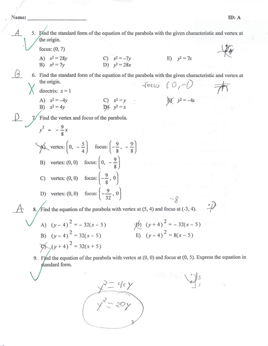
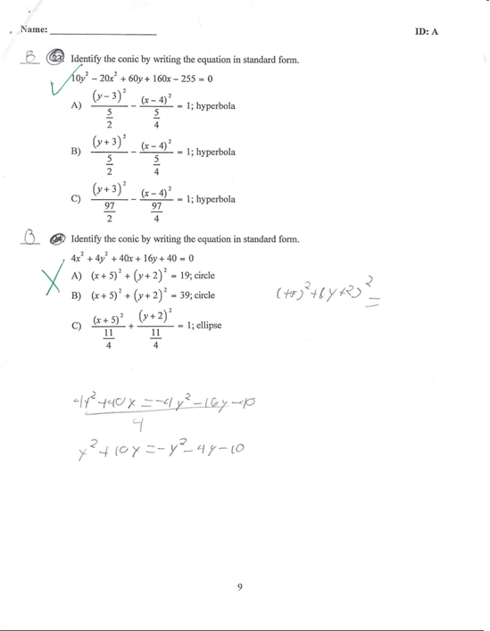
Algebra II Honors: Conic Section Math Test